Telefona, karburant dhe qira, zbulohen milionat që paguajnë shqiptarët çdo muaj për shpenzimet e deputetëve (Lista)
Shqiptarët kanë paguar mbi 130 milionë lekë të vjetër vetëm për muajin qershor për 109 deputetët e Kuvendit të Shqipërisë për karburant, fatura telefoni apo për qiratë e shtëpisë.
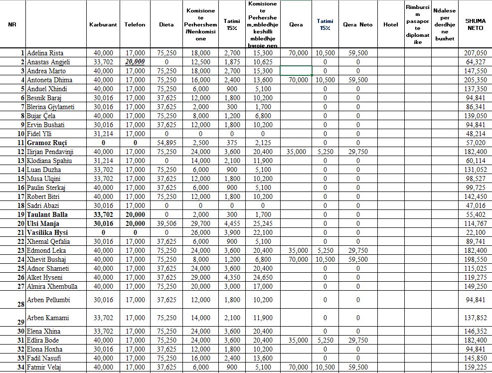
Në tabelën e shpenzimeve për muajin qershor, muaji i fundit i punës i plotë për këtë legjislaturë bie në sy shuma e madhe që paguajnë taksapaguesit shqiptarë për disa deputetë, të cilët nuk kanë shtëpi në kryeqytet, por qëndrojnë me qira.
Janë 21 deputetë të cilët përfitojnë pagesë ekstra për qiranë e shtëpisë ku qëndrojnë në kryeqytet. Nga këta duket se 16 ligjvënës nga maxhoranca, por edhe nga opozita e re preferojnë të jetojnë në qendrën e kryeqytetit dhe në apartamente luksoze, pasi shuma që paguan Kuvendi për ta është 700 mijë lekë të vjetër vetëm për një muaj ose 70 mijë lekë të reja.
Ndërsa shuma që paguan Kuvendi për 5 deputetët e tjerë që jetojnë me qira në Tiranë është sa gjysma e atyre më sipër. Pra, 35 mijë lekë të reja ose 350 mijë lekë. Po ashtu, në tabelë vërehen disa raste se ndonëse Kuvendi paguan qira për ta për të qenë në kryeqytet dhe për të marrë pjesë në komisionet parlamentare, disa prej tyre rezultojnë se nuk kanë marrë asnjë lekë për pjesëmarrjen në komisione të përhershme parlamentare që përkthehet se nuk kanë marrë pjesë në asnjë komision.
Po ashtu, një tjetër zë në tabelën e shpenzimeve për deputetët përveç qirasë është edhe fatura e telefonit. Nga ky zë i shpenzimeve rezulton se për muajin qershor asnjë deputet nuk ka përfituar më pak se 170 mijë lekë të vjetër në muaj vetëm për të komunikuar në telefon apo për të shkëmbyer mesazhe e për të qëndruar në internet.
Ndërsa vlera më e madhe për faturat e telefonit është 20 mijë lekë të rinj, ose ndryshe 200 mijë lekë të vjetër. Nga 109 deputetë që janë në tabelën e publikuar nga Kuvendi, 11 prej tyre kanë shpenzuar të paktën 20 mijë lekë të rinj në muaj. E ndërsa paga minimale në Shqipëri për punonjësit e thjeshtë është 260 mijë lekë në muaj, për muajin qershor fatura më e ulët që kanë paguar shqiptarët për deputetët e tyre është 30 mijë lekë të rinj në muaj ose 300 mijë lekë.
Ndërsa vlera më e madhe është 40 mijë lekë në muaj. Ajo që bie në kontrast është fakti se edhe deputetët, të cilët marrin pagesën për qiranë e shtëpisë, përfitojnë po ashtu vlerën maksimale të pagesës për karburantin e automjeteve të tyre.
Rruga Press




